Bridge/Middle Series

benvigil

New member
I'm looking for a wiring diagram that adds a DPDT switch that gives me:

• DPTP OFF: Normal strat wiring
• DPTP ON: Normal strat wiring on 2 thru 5, position 1 (bridge) adds the middle p/u in series.

Nothing else would change, just position 1. I've found a ton of circuits that do this, but also affect the other positions in all kinds of ways, which I'm not interested in. I can achieve this with a super switch, but is it possible with a standard 5-way when one wafer is dedicated to tone connections?

It's wired master volume, neck/middle tone, and bridge tone.

Thanks!
 
Re: Bridge/Middle Series

Now THIS is an idea! Seems to me in theory that would beef up that #1 position considerably while killing the potential for icepick highs. I can see adding this to one of my SSS Strats.

ONLY change I'd make would be to use a super switch to avoid any added mini toggles, which I so despise.
 
Re: Bridge/Middle Series

i like the series b/m option but wouldnt want it all the time. its thick and kinda dark even with vintage output a5 pups.

i dont know if you can do what youre asking with just a std 5way and a dpdt switch or at least i havent seen it successfully done.
 
Re: Bridge/Middle Series

This diagram shows the possibility of switching positions 2 and 4 to series. Might work for you?
D32048DA-014D-421C-A6A3-F2D3B5ABA6B8.jpeg
 
Re: Bridge/Middle Series

I've spent lot of time working on a plans for series switching around standrard 5-way switch. As far as I can say it can't be done, but i'd be happy to be proven wrong.

These days I prefer 4-way tele switches. They have individual tabs, so they're way more versatile (Allowing what you want to do here easily, actually that's exactly what they were designed to do in the first place). They're also more intuitive and easier to use quickly.
 
Re: Bridge/Middle Series

I've spent lot of time working on a plans for series switching around standard 5-way switch. As far as I can say it can't be done, but i'd be happy to be proven wrong.
I haven't found a way either.

These days I prefer 4-way tele switches. They have individual tabs, so they're way more versatile (Allowing what you want to do here easily, actually that's exactly what they were designed to do in the first place). They're also more intuitive and easier to use quickly.
Do they make 5-way Tele-style switches? That's the way the Super Switch is built... 5 individual tabs.

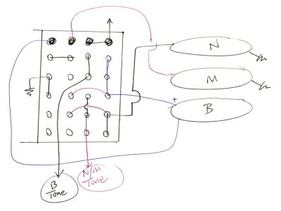
My tentative 5-way Super Switch (volume, n/m tone, bridge tone) wiring looks like:

• 5: N (n/m tone)
• 4: N+M (n/m tone)
• 3: M+B (n/m tone)
• 2: B (bridge tone)
• 1: B>M (series, w/bridge tone)

Pros: no push/pulls needed. No duplicate/empty positions. No weird ;) parallel + series 3-pickup combinations.
Con: no #3 position, but I never use position #3 honestly. Super Switches are expensive.
 
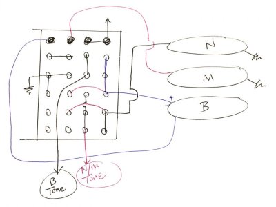
Re: Bridge/Middle Series

Here's the layout...

18-07-18 14-57-43 3304.jpg

Additionally, I can easily use a push/pull to swap the + wires on the neck and middle pups giving me tele wiring in #3, and B>N in series in #1:

• 5: M (n/m tone)
• 4: N+M (n/m tone)
• 3: N+B (n/m tone)
• 2: B (bridge tone)
• 1: B>N (series, w/bridge tone)
 

Attachments

  • 18-07-18 14-57-43 3304.jpg
    18-07-18 14-57-43 3304.jpg
    47.5 KB · Views: 0
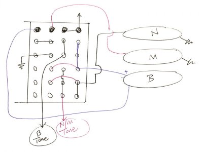
Re: Bridge/Middle Series

Just a final update on this... finally wired this puppy up and it works exactly as I hoped.

• 5: M (n/m tone)
• 4: N+M (n/m tone)
• 3: N+B (n/m tone)
• 2: B (bridge tone)
• 1: B>N (series, w/bridge tone)

The odd thing about these G&L pups is that the neck and middle measured at 5.9k and the bridge measured 5.7k. Position #1 (B>N in series) has a slightly cocked wah flavor but is good and beefy while not overpowering the other positions. I'm guessing that's from the weak-sauce bridge pickup. :)

Also went with a Kinman-style 180k/1nF treble bleed and .015uF tone caps.

Wiring up the Super Switch was super easy. Here's the final schematic:

18-07-18 14-57-43 3304.jpg
 
Re: Bridge/Middle Series

Thanks @Herby.

In my original post, I wanted a switch to add the middle in series with the bridge in position #1 ONLY:

• without using a Super Switch
• that did not affect the other positions in other ways
• with a standard 5-way blade switch

I don't think it's possible. I knew I could easily do what I wanted with a Super Switch.

In the end, I used a Super Switch without a DPDT switch, and wired only the combinations that I wanted.
 
Back
Top